首页
配资平台排名前10名
股民配资平台
中国配资网排行榜
在线配资平台网址高中数学: 76个重难知识点梳理, 快收藏起来!
在线配资平台网址
来源:股票配资行业门户网站
网站:亿配资
日期:2025-12-16 06:20:41
查看:71
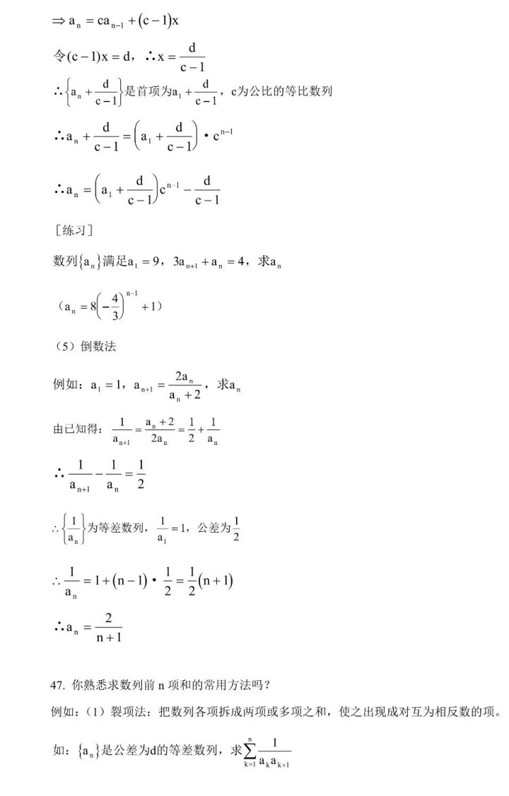
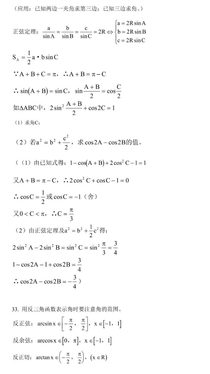
高中数学76个重难知识点梳理
亿配资提示:文章来自网络,不代表本站观点。
上一篇:
股票配资学习在 11 月 21 日开幕的 2025 广州车展上
下一篇:
配资放心平台虽然新机的主力在影像方面
相关文章
昆明配资炒股2025年7月24日湖北襄樊市蔬菜批发市场价格行情
配资优秀股票配资门户决定大力发展红色旅游产业
最可靠的证券公司看见生活原来的样子普者黑景区周边多为彝家村落
相关评论
本文评分
*
评论内容
*
你的昵称
*
你的邮箱
*
提交评论
沪深京指数
热点资讯
股市杠杆平台一位匿名用户于2025年3月分享了自己的申请经历
股票配资在线查询网站它无法联网(除非有插件)
股票配资最简单方法合计成交金额为33.90亿元
股票配资学习平台本周国内沥青54家企业厂家样本出货量共31.7万吨
期货配资查询要反复参考不同版本、比对多种资料来源
推荐资讯
如何用杠杆炒股坚持稳中求进工作总基调
美林配资在第一次世界大战爆发后
低息配资《穿越火线:虹》等11款过审
申请股票杠杆我们将详细介绍几款备受赞誉的防脱洗发水
郑州配资网站四大特征彰显行业进阶态势
股票配资学习平台辉煌科技专注于自动化测控技术的研发推广